Recuerda la pregunta Nº1 de Competencia Matemática M2
La rampa es una forma alternativa de acceso para las personas con movilidad reducida.
Cada país tiene su propia normativa de seguridad sobre las pendientes máximas que deben ser usadas en una rampa.
En Chile, una rampa de más de 150 cm de longitud debe tener, como máximo, un 8 % de pendiente. Esto significa que, al avanzar 100 cm horizontales, la rampa debe elevarse 8 cm verticales, tal como se presenta en la siguiente imagen:
La norma chilena indica que, en el caso de que la rampa tenga una longitud menor o igual a 150 cm, se admite una pendiente máxima de 12 %.
¿Cuál es la altura máxima que puede alcanzar una rampa construida con la pendiente máxima permitida en Chile, cuando con ella se avanza una distancia horizontal de 0,8 m de principio a fin?
Algunas posibles estrategias para resolver
• Identificar una situación de proporcionalidad por:
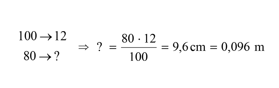
“Cada 100 cm horizontal se sube 12 cm, entonces si se avanza 80 cm horizontal, ¿cuánto se sube?”
• Representar la situación mediante dos triángulos semejantes:
Así, como observas en estas estrategias, la opción correcta es B).
¿Qué evalúa esta pregunta?
La habilidad de generalizar una definición técnica de la arquitectura, en este caso la pendiente de una rampa, y de aplicar luego esa generalización a un caso particular, usando la información dada y los conocimientos matemáticos como la proporcionalidad y la conversión de unidades de medida entre otros.
